이제 지금까지 배운 내용을 응용해보자
어떤 세 점이 주어질 때, 그 세 점을 삼각형으로 하는 평면을 결정할 수 있다.
임의 지점에서부터 주어진 방향으로 광선을 쏘았을 때, 그 광선이 삼각형에 맞았는지 어떻게 알 수 있을까?
이는 아래와 같은 방법으로 계산할 수 있다.
1. 평면식을 구한다. (세 점으로부터 둘레 벡터 구하고, 둘레벡터의 외적과 세 점중 하나로 평면식 결정)
2. 광선의 직선식을 구한다.
3. 광선의 직선식과 평면식의 교점을 구한다.
4. 교점이 삼각형 내부에 있는지 체크한다.
(각 삼각형 선분마다, 그 선분을 포함하고 삼각형평면에 수직인 평면식을 짜고, 그 평면식 위의 임의 점 A 에서 평면식의 법선벡터를 내적했을 때 양수임이 모든 선분에서 확인되면 내부에 있다고 볼 수 있다.)
내적의 응용파트에서 내부 외부 테스트를 외적을 통해 할 수 있다고 했다.
그 과정을 따라가보자.
삼각형을 이루는 세 점은 평면식을 구하기 쉽게 (1, 0, 0), (0, 1, 0), (0, 0, 1) 으로 두겠다.
또 광선의 시작점은 (0, 0, 10), 광선 방향은 -z 축 방향이라고 하자.
그렇다면 교점은 (0, 0, 1) 이 될 것이고, 이는 삼각형 내부에 있다고 볼 수 있다.
(정확히는 경계에 있다. 경계를 내부로 볼지 말지는 정하기 나름이다.)
1. 평면식 구하기
평면식은 x + y + z = 1 로 간단히 나온다.
외적을 통해 평면식을 구하는 과정은 외적의 응용 글에서 정리하였으므로 생략한다.
2. 광선의 직선식 구하기
(0, 0, 10) + (0, 0, 1)*t = (0, 0, t+10)
3. 광선과 평면의 교점 구하기
0 + 0 + (t+10) = 1
t = -9
이를 직선식에 대입하면 (0, 0, 1) 이 교점이고, 우리가 알고 있는 교점과 같다.
4. 교점의 내부테스트
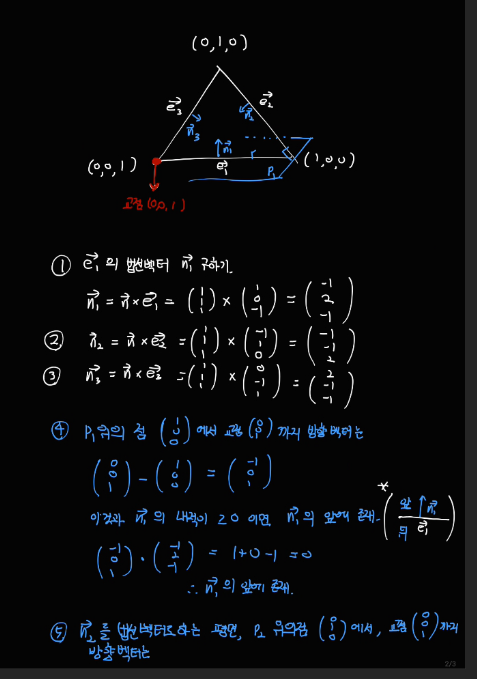
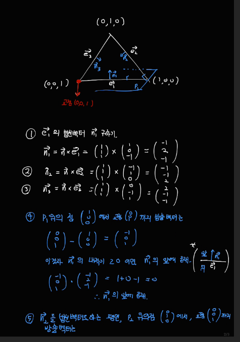
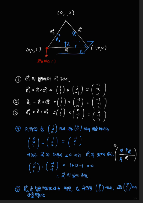
여기가 핵심이다.
이 부분은 필기를 이용해서 정리하였다.


'CS > 멀티미디어응용수학' 카테고리의 다른 글
| [멀티미디어응용수학] 5. 입사 벡터로부터 반사 벡터 구하기 (0) | 2023.10.17 |
|---|---|
| [멀티미디어응용수학] 4. 직선과 평면, 점 사이의 최단 거리 (0) | 2023.10.14 |
| [멀티미디어응용수학] 3. 외적과 외적의 응용 (0) | 2023.10.12 |
| [멀티미디어응용수학] 2. 내적과 내적의 응용 (0) | 2023.10.11 |
| [멀티미디어응용수학] 1. 직선의 교점 계산 (1) | 2023.10.06 |